随着2023年大模型在国内的发展成熟,现在大家逐步开始真正关注到大模型应用的开发上。有人说,2024年是大模型应用的落地元年。的确,看似无所不能的大模型,也并不是直接丢到一个系统就能用的,如何开发大模型应用,实际上还处于一个刚起步的阶段。一些成熟的技术,经历过许多人摸索后,总能给出一个"best practice";对于大模型应用开发来说,却仍还在探索阶段。 目前,一个看起来比较靠谱的模型,是这样定义大模型应用开发的几个level的:
最简单的Wrapper层级,实际就是把大模型的提示词封装成一个固定功能的”方法“,然后集成到业务系统中。KPP的Function(或者Prompt),就是一个Wrapper。Wrapper能做什么完全取决于大模型的能力,比如生成一段文字,甚至写一段代码,都没有问题。但是如果想做一个复杂的功能,恐怕就不行了,比如,先生成代码再执行得到代码运行结果,这样就没法直接通过大模型请求来做了,原因是大模型本身无法直接执行代码 [1]。
显然,对于复杂的功能,我们可以尝试分步骤来解决。比如一键生成PPT就是很好的例子,第一步先生成一个outline;然后再根据outline,去填充内容;最后通过一个生成文档的API生成一个美化后的PPT。这样每一步都可以用最适合的技术来进行,比如生成outline和填充内容用LLM,可以选择最合适的模型;美化PPT则可以直接使用已有的API来处理。
这其实就是Flow了,或者更明确一点,Agentic Workflow[2]。不是普通的工作流,是“智能”的工作流。通过流程的编排,我们可以扩充LLM的能力,通过一些组合来实现复杂的业务功能。相对于Wrapper而言,Workflow可以更好地实现复杂的AI能力。 因此,我们在KPP中也实现了Workflow的能力。这里就技术层面分享一下KPP在构建Workflow时的一些设计和实现。
为什么要自研,搞个开源的不行么?
实际上,在开始设计工作流之前,就已经有不少公司已经在做了。其中最具有参考价值的主要是Dify和扣子。其中,Dify是一个开源的系统,理论上可以直接拿过来用。 但是,考虑到WPS AI的实际情况,有几个比较重要的问题是Dify难以支撑的:
- 无法直接嵌入到WPS AI的现有体系,包括网关、KPP、AI Server等,一定会存在一个二次开发的成本
- Dify是用Python写的,如果大规模使用,很可能会遇到性能问题,包括工作流本身的异步多线程执行、以及水平扩展的性价比
实际上,字节的Coze是一个非常适合我们的开发平台。它的产品设计相当专业和完善,Workflow、图像流、Agent、多Agent协作等,是目前所有平台中定义最清晰的。相对而言,一些平台自己都不知道自己在做什么,比如百度的Agent Builder和App Builder,做着做着就成一样的了[3]。 Dify在这方面也有明显的问题,看起来还没有搞清楚Agent和Workflow的关系。
然而很遗憾目前为止没有一个开源的系统可以达到Coze的高度。 正是由于种种原因,最终KPP决定完全自研Workflow系统。
理论基础
即便从零开始实现一个Workflow其实也比较简单,因为从原理上来说,Workflow无非就是一个DAG(有向无环图)而已。 它是工作流的核心。DAG相信大家都比较熟悉,之所以要用到DAG正式因为它有两个重要的特点:
- 节点之间的连接是有向的,否则我们将无法判断节点之间的依赖关系和执行顺序
- 整个图是无环的,这也限制了在Workflow中是不可以存在循环的。这点非常重要,如果是一个Agent,那么我们可以一直给Agent发消息聊下去,这是一个循环;但是Workflow一定不能存在这种不确定的循环,或者说,我们期望在Workflow能够在确定有限的时间内运行完成并获取结果,它是Stateless(无状态)的
使用拓扑排序确定执行顺序
执行DAG第一件事情就是确定节点的执行顺序,从哪里开始,又如何结束?
考虑如下的几种场景:
从图中我们可以看出这也一些信息:
- 严格而言,理论上DAG只要求有向无环,但是不必要“连通”的。也即是说,图中可以存在孤立的点,或者多个分散的DAG构成一个大的DAG
- 一个节点可能有多个后继节点,意味着某个任务完成后,可能触发多个任务的执行
- 一个节点也可能有多个依赖,那么只有依赖节点全部执行完成后,才能开始它的执行
我们可以通过拓扑排序(Topological sorting)来确定节点的执行顺序。比较著名的算法是Kahn's algorithm,原理也很简单,从图中选出入度为零的节点,然后删掉这些节点和边,再重复这一过程直到原图为空。这样选出的这些节点就是拓扑排序的结果。
拓扑排序还有一个附带的好处,就是可以检测图中是否有环。如果图中没有入度为零的节点,但是选出的节点数目仍然小于图的节点数,那么拓扑排序失败,证明图中有环存在。
拓扑排序的结果并不一定是唯一的。比如场景一中,由于节点相互之间完全无依赖,因此任意一个组合都是正确的拓扑排序结果。
值得注意的是,尽管拓扑排序得到的是一个有序的列表,这并不意味着你需要“串行”执行。场景三的拓扑排序结果为[A,B,C,D]或者[A,B,D,C],其中,C和D是可以并行执行的。
事件驱动架构
确定了节点的执行顺序之后,我们可以按照顺序来执行节点,看起来工作流的执行就这样完成了:
sorted_nodes <- dag.topological_sort()
for node in sorted_nodes:
node.wait_for_dependencies()
node.execute()
但是我们忽略了几个重要的问题:
- 节点之间是有交互的。考虑场景三中,节点B是可能需要使用A的运行结果的,也就是说,一个节点的运行结果应该对其后继节点可见
- 我们需要能够实时观测工作流的运行情况,比如当前执行到哪一个节点了?这对于界面调试、API调用等都十分有用。
使用事件驱动架构可以比较容易来解决这个问题。我们将工作流的运行抽象成一系列的事件,节点的执行产生事件(比如节点开始、节点结束),而这些事件具体如何使用则由消费者来决定。 这样,在UI上调试工作流时,我们只需要根据这些事件来更新页面上的节点状态;当使用API调用时,我们则可以过滤掉不感兴趣的事件,只监听结果事件并返回给调用方即可。 这样对于工作流执行引擎将有非常强的扩展性和可测试性。
传递闭包简化
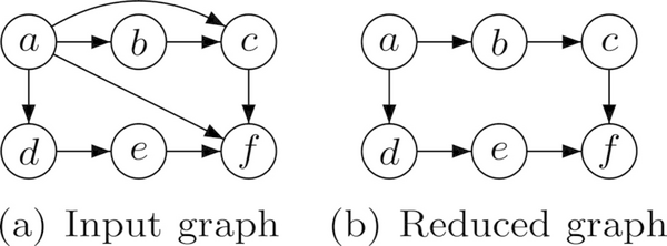
对于工作流,可能存在不必要的连接,通过传递闭包简化(Transitive reduction)算法可以对无用的连接进行删除,从而得到一个唯一确定的简化工作流。例如,下图中a→d, a→e 都是不必要的边。
未来展望
关于为什么要做Workflow,感兴趣可以从这里了解一些其他的信息[4]。
- ↑ 虽然模型本身可以推理,一些情况下是可以推算出结果,但无法做到准确。即使是人,也很难直接计算诸如10988x727664=?这样的问题
- ↑ https://www.deeplearning.ai/the-batch/issue-242/
- ↑ https://www.53ai.com/news/qianyanjishu/1317.html
- ↑ AI Con总结和KPP工作流 方案汇报 https://365.kdocs.cn/l/crXXklzrerKF